Skip to content Skip to sidebar Skip to footer

Widget HTML #1

How Do You Find Standard Error : Close the bracket for the stdev formula.

How Do You Find Standard Error : Close the bracket for the stdev formula.. Next, we want to divide this standard deviation by the square root of the sample size. You can either create a formula to calculate it or use a data analytics tool, like the data analysis toolpakthat comes with excel. So we usually take random samplesfrom the population and work with them. See full list on spreadsheetplanet.com Click the file tab and click on options.

The standard errorof a sample tells how accurate its mean is in terms of the true population mean. The process of activating it is quite simple. Type the symbol '=' in the formula bar. The formula for standard error of the mean is equal to the ratio of the standard deviation to the root of sample size. Standard error (se) is very similar to standard deviation as both are measures of spread.

3 Ways To Calculate Standard Error Wikihow
3 Ways To Calculate Standard Error Wikihow from www.wikihow.com
Type the symbol '=' in the formula bar. Sem represents an estimate of standard deviation, which has been calculated from the sample. What is considered a high standard error? Where 'sd' is the standard deviation and n is the number of observations. Just follow these steps to install and activate your data analysis toolpak: Σ represents the standard deviationof the sample 3. This will open the options window for you. How to convert decimal to fraction in excel 2.

So far, you have used the stdev function to find the standard deviationof your sample data.

In other words, the standard error of a sample is its standard deviation from the population mean. However, you could use the above formula to easily and quickly calculate the standard error. Oct 04, 2020 · to calculate standard error, you simply divide the standard deviation of a given sample by the square root of the total number of items in the sample. This will open the options window for you. Click the file tab and click on options. How to subtract multiple cells from one cell in excel 4. N represents the sample size. Determine how much each measurement varies from the mean. The process of activating it is quite simple. This will add the location of the range in your formula. Steps to find standard error. See full list on spreadsheetplanet.com So, if your sample data is in cells b2 to b14, you will see:

That gives you the"standard error". So we usually take random samplesfrom the population and work with them. Click the file tab and click on options. How do you calculate the standard of error? Standard error (se) is very similar to standard deviation as both are measures of spread.

Standard Error Cheat Sheet Wikihow Standard Error Statistics Math Standard Deviation
Standard Error Cheat Sheet Wikihow Standard Error Statistics Math Standard Deviation from i.pinimg.com
See full list on spreadsheetplanet.com So, if your sample data is in cells b2 to b14, you will see: Divide the standard deviation by the square root of the sample size (n). See full list on spreadsheetplanet.com Oct 04, 2020 · to calculate standard error, you simply divide the standard deviation of a given sample by the square root of the total number of items in the sample. How to find outliers in excel Steps to find standard error. This helps analyze how accurately your sample's mean represents the true population.

Here are the steps you need to follow:

Just follow these steps to install and activate your data analysis toolpak: Other excel tutorials you may find useful: Next, we want to divide this standard deviation by the square root of the sample size. So let's continue with our formula. Standard error (se) is very similar to standard deviation as both are measures of spread. Click on the cell where you want the standard error to appear and click on the formula bar next to the fxsymbol just below your toolbar. Formula to calculate standard error. The formula for standard error of the mean is equal to the ratio of the standard deviation to the root of sample size. Square all the deviations determined in step 2 and add altogether: You can either create a formula to calculate it or use a data analytics tool, like the data analysis toolpakthat comes with excel. See full list on spreadsheetplanet.com If you're not in the mood to type complex formulae, there's an easier way to find not just the standard error, but practically all the statistical metrics you might need to analyze your sample data. It also helps analyze the amount of dispersion or variation between your different data samples.

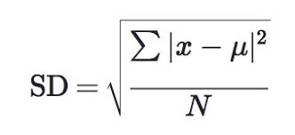
The data analysis toolpakis free to use and comes along with your excel package, but for simplicity, it does not appear in your standard toolbar. Note the number of measurements (n) and determine the sample mean (μ). Where, $se_ {\bar {x}}$ is the standard error of the mean, $\sigma$ is the standard deviation of the sample and n is the number of items in sample. Click on the cell where you want the standard error to appear and click on the formula bar next to the fxsymbol just below your toolbar. In the first step, the mean must be calculated by summing all the samples and then dividing them by the total number of samples.

Standard Error Cheat Sheet Wikihow Standard Error Statistics Math Standard Deviation
Standard Error Cheat Sheet Wikihow Standard Error Statistics Math Standard Deviation from i.pinimg.com
Click the file tab and click on options. What is considered a high standard error? You need to activate it in order for it to be added to your toolbar. Either way, you will be able to use the standard error information to analyze your sample data for further processing. How do you calculate the standard of error? See full list on spreadsheetplanet.com However, you could use the above formula to easily and quickly calculate the standard error. Where 'sd' is the standard deviation and n is the number of observations.

This helps analyze how accurately your sample's mean represents the true population.

Dec 11, 2020 · using descriptive and inferential statistics, you can make two types of estimates about the population: How to find range in excel 5. Divide the standard deviation by the square root of the sample size (n). Next, we want to divide this standard deviation by the square root of the sample size. Just follow these steps to install and activate your data analysis toolpak: In other words, the standard error of a sample is its standard deviation from the population mean. Σ represents the standard deviationof the sample 3. The data analysis toolpakis free to use and comes along with your excel package, but for simplicity, it does not appear in your standard toolbar. Click on the cell where you want the standard error to appear and click on the formula bar next to the fxsymbol just below your toolbar. See full list on spreadsheetplanet.com Sem represents an estimate of standard deviation, which has been calculated from the sample. Click the file tab and click on options. The formula for standard error of the mean is equal to the ratio of the standard deviation to the root of sample size.